Komentarze do bieżącej sytuacji na rynkach finansowych
Moderatorzy: Morfeusz, topix, gienek, Darkh, olab, bono, skippy, krezus, kolargol
przez topix » 2015-01-11, 17:32
Sygnalizowany inside bar stał się faktem na instrumencie bazowym (na wykresie w intrewale day), na fucie 1 pkt przekroczony ale podobno to nie ogon macha psem :) Poprzedni dał zarobić, tym razem pojawia się okazja zająć pozycję na wybicie obecnego.
Zapraszam do komentowania poniedziałkowych wydarzeń.
zdrówka
Topix
- Załączniki
-

-

topix
-
- Posty: 2983
- Dołączenie: 2010-10-26, 08:03
-
przez MAJ40i4 » 2015-01-11, 19:39
Do przemyślenia:
Najważniejsze komponenty WIG20 i prognoza:
PKO Kurs w górę
PZU Neutralnie
PEO Kurs w dół
PKN Kurs w górę
KGH Kurs w dół
PGE Kurs w dół
BZW Kurs w górę
Najlepiej było się załapać w Piątek na FW20 es od pewno do poniedziałku rana, gdzie trzeba będzie zamknąć jeśli nie spadnie poniżej 23... Jeśli pójdzie do góry ok 9:15 to zmieniam na longa i wtedy to będzie potwierdzenie ( podwójnego dna)- czyli dalszych wzrostów 23...
SP 500- long
FUSDPLN- szorcik
FEURPLN- szorcik
Dax- Long
Co sądzicie?
-
MAJ40i4
-
- Posty: 6
- Dołączenie: 2014-11-17, 16:50
-
przez Major » 2015-01-11, 23:11
Dax - w poniedziałek szukam S
USDPLN - biała świeca na EURUSD, może wejść. W poniedziałek ustawiam się L na GBPUSD lub L na EURUSD
EURPLN - OK
SPX - raczej S
-
Major
-
- Posty: 1145
- Dołączenie: 2007-11-26, 08:53
-
przez ryztyz » 2015-01-12, 12:19
Troszkę to niemrawo wygląda w stosunku np. do daxa. Pewnie będziemy na tych poziomach aż do 16, a potem...bardziej prawdopodobne są dla mnie w tym momencie wzrosty...ale zobaczymy, trzeba być cierpliwym
-

ryztyz
-
- Posty: 3178
- Dołączenie: 2012-08-19, 12:14
-
przez filozof » 2015-01-12, 12:55
Na godzinowym kształtuje się rgr. Ta formacja pojawiająca sie w takim etapie - poczatkowej fazie trendu, zazwyczaj jest jedynie przystankiem. Pytanie czy spadna ponizej linii szyi aby pozniej wybić się w góre i przyspieszyć trend?!
Powodzenia!
-
filozof
-
- Posty: 34
- Dołączenie: 2014-11-26, 11:30
-
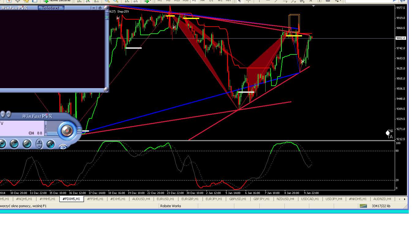
przez robste2377 » 2015-01-12, 14:28
DAX według Picassa
- Załączniki
-

-
robste2377
-
- Posty: 85
- Dołączenie: 2015-01-12, 14:01
- Miejscowość: Darłowo
-
przez onichimiuk » 2015-01-12, 14:31
o tym rgr wspomniałem w piątek, pytanie czy zostanie zrealizowany. Jeżeli tak to wówczas możliwy rgr na dziennym z zasięgiem na ok. 2150
-
onichimiuk
-
- Posty: 282
- Dołączenie: 2014-12-01, 17:31
-
przez Darot » 2015-01-12, 15:29
Może jakieś WXY ze szczytu gramy i do 2320 na równość dojedziemy ?
-
Darot
-
- Posty: 124
- Dołączenie: 2014-11-28, 11:50
-
przez hossafan » 2015-01-12, 17:06
Obroty żenua, LOP żenua. Nie dam się nabrać na S-ki
-
hossafan
-
- Posty: 206
- Dołączenie: 2014-10-22, 11:57
-
przez Darot » 2015-01-12, 17:14
50% ruchu 2269 - 2371 zrobione ( może 1-2 pkt brakło)
w=y zrobione ( może 1-2 pkt brakło ) może jeszcze bedzie zejście z naruszeniem i popatrzymy w góre...
-
Darot
-
- Posty: 124
- Dołączenie: 2014-11-28, 11:50
-
Powróć do Komentarz po sesji
Kto jest na forum
Użytkownicy przeglądający to forum: Brak zarejestrowanych użytkowników oraz 2 gości